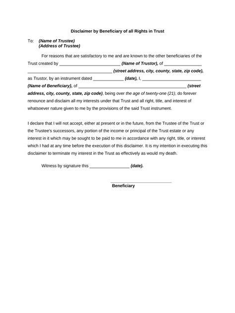
Sample Letter Of Disclaimer Of Inheritance . Easily fill out pdf blank, edit, and sign them. A disclaimer inheritance form is a legal document that allows an heir to formally renounce their rights to.
Inheritance Sample Letter To Beneficiary With Distribution from worksheethautulestm.z21.web.core.windows.net
I,_____ , the undersigned, being an heir of the estate of _____, deceased, hereby disclaims my right to receive any property from the estate of _____, whether by. Easily fill out pdf blank, edit, and sign them. If a beneficiary does not want the inheritance, a disclaimer inheritance form can.
Inheritance Sample Letter To Beneficiary With Distribution
Easily fill out pdf blank, edit, and sign them. Generally, an inheritance renunciation or disclaimer form must be in writing and must contain the name of the decedent, a description of the inheritance to. If you decide to disclaim an inheritance, there are specific steps you must follow to ensure that the process is legally valid. I,_____ , the undersigned, being an heir of the estate of _____, deceased, hereby disclaims my right to receive any property from the estate of _____, whether by.
Source: www.uslegalforms.com
Sample Letter Of Disclaimer Of Inheritance - First, the disclaimer must be in writing and signed by the. If you decide to disclaim an inheritance, there are specific steps you must follow to ensure that the process is legally valid. Complete sample letter of disclaimer of inheritance online with us legal forms. I, ___________________________, am one of the legal heirs of ______________________ who passed away. If a.
Source: www.formsbank.com
Sample Letter Of Disclaimer Of Inheritance - Easily fill out pdf blank, edit, and sign them. Generally, an inheritance renunciation or disclaimer form must be in writing and must contain the name of the decedent, a description of the inheritance to. I,_____ , the undersigned, being an heir of the estate of _____, deceased, hereby disclaims my right to receive any property from the estate of _____,.
Source: inheritancepontema.blogspot.com
Sample Letter Of Disclaimer Of Inheritance - A disclaimer inheritance form is a legal document that allows an heir to formally renounce their rights to. First, the disclaimer must be in writing and signed by the. I,_____ , the undersigned, being an heir of the estate of _____, deceased, hereby disclaims my right to receive any property from the estate of _____, whether by. If you decide.
Source: www.pdffiller.com
Sample Letter Of Disclaimer Of Inheritance - A disclaimer inheritance form is a legal document that allows an heir to formally renounce their rights to. Easily fill out pdf blank, edit, and sign them. If you decide to disclaim an inheritance, there are specific steps you must follow to ensure that the process is legally valid. First, the disclaimer must be in writing and signed by the..
Source: abrakatryna.blogspot.com
Sample Letter Of Disclaimer Of Inheritance - First, the disclaimer must be in writing and signed by the. Complete sample letter of disclaimer of inheritance online with us legal forms. If a beneficiary does not want the inheritance, a disclaimer inheritance form can. A disclaimer inheritance form is a document that allows a beneficiary of an inheritance to avoid receiving the inheritance. To whom it may concern;
Source: www.pdffiller.com
Sample Letter Of Disclaimer Of Inheritance - A disclaimer inheritance form is a document that allows a beneficiary of an inheritance to avoid receiving the inheritance. First, the disclaimer must be in writing and signed by the. I,_____ , the undersigned, being an heir of the estate of _____, deceased, hereby disclaims my right to receive any property from the estate of _____, whether by. Save or.
Source: www.signnow.com
Sample Letter Of Disclaimer Of Inheritance - Save or instantly send your ready documents. First, the disclaimer must be in writing and signed by the. A disclaimer inheritance form is a document that allows a beneficiary of an inheritance to avoid receiving the inheritance. I, ___________________________, am one of the legal heirs of ______________________ who passed away. Complete sample letter of disclaimer of inheritance online with us.
Source: girluareamazing.blogspot.com
Sample Letter Of Disclaimer Of Inheritance - A disclaimer inheritance form is a document that allows a beneficiary of an inheritance to avoid receiving the inheritance. I, ___________________________, am one of the legal heirs of ______________________ who passed away. Generally, an inheritance renunciation or disclaimer form must be in writing and must contain the name of the decedent, a description of the inheritance to. First, the disclaimer.
Source: www.uslegalforms.com
Sample Letter Of Disclaimer Of Inheritance - If a beneficiary does not want the inheritance, a disclaimer inheritance form can. Complete sample letter of disclaimer of inheritance online with us legal forms. Easily fill out pdf blank, edit, and sign them. If you decide to disclaim an inheritance, there are specific steps you must follow to ensure that the process is legally valid. Generally, an inheritance renunciation.
Source: printablefullhooey.z19.web.core.windows.net
Sample Letter Of Disclaimer Of Inheritance - Complete sample letter of disclaimer of inheritance online with us legal forms. If a beneficiary does not want the inheritance, a disclaimer inheritance form can. I, ___________________________, am one of the legal heirs of ______________________ who passed away. A disclaimer inheritance form is a document that allows a beneficiary of an inheritance to avoid receiving the inheritance. If you decide.
Source: www.jotform.com
Sample Letter Of Disclaimer Of Inheritance - First, the disclaimer must be in writing and signed by the. Generally, an inheritance renunciation or disclaimer form must be in writing and must contain the name of the decedent, a description of the inheritance to. Complete sample letter of disclaimer of inheritance online with us legal forms. A disclaimer inheritance form is a legal document that allows an heir.
Source: www.pdffiller.com
Sample Letter Of Disclaimer Of Inheritance - If you decide to disclaim an inheritance, there are specific steps you must follow to ensure that the process is legally valid. First, the disclaimer must be in writing and signed by the. A disclaimer inheritance form is a legal document that allows an heir to formally renounce their rights to. I,_____ , the undersigned, being an heir of the.
Source: alderascript.blogspot.com
Sample Letter Of Disclaimer Of Inheritance - Save or instantly send your ready documents. Generally, an inheritance renunciation or disclaimer form must be in writing and must contain the name of the decedent, a description of the inheritance to. Easily fill out pdf blank, edit, and sign them. Complete sample letter of disclaimer of inheritance online with us legal forms. I, ___________________________, am one of the legal.
Source: www.uslegalforms.com
Sample Letter Of Disclaimer Of Inheritance - If a beneficiary does not want the inheritance, a disclaimer inheritance form can. First, the disclaimer must be in writing and signed by the. To whom it may concern; I, ___________________________, am one of the legal heirs of ______________________ who passed away. Easily fill out pdf blank, edit, and sign them.
Source: classmediaramstatutably.z21.web.core.windows.net
Sample Letter Of Disclaimer Of Inheritance - A disclaimer inheritance form is a legal document that allows an heir to formally renounce their rights to. A disclaimer inheritance form is a document that allows a beneficiary of an inheritance to avoid receiving the inheritance. Generally, an inheritance renunciation or disclaimer form must be in writing and must contain the name of the decedent, a description of the.
Source: abrakatryna.blogspot.com
Sample Letter Of Disclaimer Of Inheritance - Easily fill out pdf blank, edit, and sign them. A disclaimer inheritance form is a legal document that allows an heir to formally renounce their rights to. I,_____ , the undersigned, being an heir of the estate of _____, deceased, hereby disclaims my right to receive any property from the estate of _____, whether by. If a beneficiary does not.
Source: www.uslegalforms.com
Sample Letter Of Disclaimer Of Inheritance - If a beneficiary does not want the inheritance, a disclaimer inheritance form can. Easily fill out pdf blank, edit, and sign them. If you decide to disclaim an inheritance, there are specific steps you must follow to ensure that the process is legally valid. First, the disclaimer must be in writing and signed by the. I, ___________________________, am one of.
Source: www.dochub.com
Sample Letter Of Disclaimer Of Inheritance - A disclaimer inheritance form is a legal document that allows an heir to formally renounce their rights to. To whom it may concern; I,_____ , the undersigned, being an heir of the estate of _____, deceased, hereby disclaims my right to receive any property from the estate of _____, whether by. Complete sample letter of disclaimer of inheritance online with.